Damià Milanés
Categorias
 
            En las bases de los soportes tiene lugar el encuentro entre dos materiales con propiedades mecánicas muy diferentes: el acero del soporte y el hormigón de la cimentación. Esta transmisión de esfuerzos entre el soporte y la cimentación acostumbra a resolverse mediante la inclusión de una placa base también conocida como placa de asiento chapa de reparto. Las placas de asiento aumentan la superficie de apoyo sobre y el hormigón lo que provoca que las presiones sobre este material disminuyan.
En éste y los siguientes artículos vamos a desarrollar paso a paso el proceso de dimensionado de este elemento de transición fundamental para garantizar el éxito en cualquier estructura de acero.
Dividiremos el trabajo en dos artículos y nos apoyaremos en sus respectivas hojas de cálculo MathCad que nos ayudarán a esquematizar el proceso:
Encontrarán todos los artículos y las hojas de cálculo en el blog y las redes sociales de Zigurat por lo que les recomendamos que estén atentos a todas estas novedades en las próximas semanas. Este contenido forma parte del Máster Internacional de Estructuras Metálicas y Mixtas en Edificación de Zigurat.
La función principal de las placas de asiento consiste en la transmisión de los esfuerzos que usualmente se localizan en la base de los soportes hasta la cimentación. En función de si éstos se consideran rígidos o articulados a la cimentación, las placas deberán ser capaces de transmitir esfuerzos de compresión, cortante y/o flexión.
Por lo tanto como criterios fundamentales debemos establecer los siguientes: 1) Debe darse un equilibrio entre lo que serían las solicitaciones propiamente en el soporte y las tensiones que se producen en la cimentación. 2) Al mismo tiempo las tensiones en la cimentación no deben sobrepasar los valores máximos admitidos por el propio material y por último 3) debemos de ser capaces de diseñar una unión con la rigidez necesaria de todos sus elementos.
El dimensionado de la placa base o placa de asiento de un soporte consiste en verificar que los esfuerzos de compresión transmitidos por el soporte a través del área eficaz a compresión de la placa no supere la resistencia a compresión del hormigón “fjd”. En este primer artículo nos centraremos en esta afirmación que nos permitirá obtener un primer predimensionado de la placa (dimensiones en planta a y b). En el siguiente artículo tendremos en cuenta que también deberemos garantizar que el espesor de la placa “t” sea suficiente para soportar las flexiones que en ella se generan.
Como decíamos los esfuerzos de compresión que se transmiten a la cimentación por el soporte se suponen uniformemente repartidos en un área resistente conocida como “área eficaz de la placa” y es aquella que queda circunscrita en un perímetro definido a una distancia “c” de cada cara el pilar. En la siguiente imagen el área eficaz se corresponde con el área sin rayar:


La distancia “c” viene acotada superiormente por la expresión siguiente. Queda en función del límite elástico de acero “fyd”, de la resistencia a compresión del hormigón confinado “fjd” y por el espesor “t” de la chapa por lo que el proceso de dimensionado se convierte en un proceso iterativo:

- t es el espesor de la placa de asiento. - fyd: es la resistencia de cálculo del acero, con coeficiente parcial de seguridad relativo a la plastificación del acero γM0=1,05:

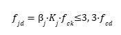
- fjd: resistencia portante de la superficie de asiento o resistencia hormigón confinado:

La resistencia del hormigón confinado depende de la calidad del mismo a través de su resistencia característica "fck". Merece la pena comentar que la superficie que está directamente cargada (chapa a·b) se encuentra rodeada por hormigón descargado (cimentación) que realiza una función de zunchado imposibilitando el ensanchamiento del hormigón que no trabaja. Por este motivo la resistencia del hormigón confinado “fjd” es algo superior a la resistencia característica del material.
- βj: el coeficiente de la unión. Puede tomarse igual a 2/3 siempre que la resistencia característica del mortero de nivelación no sea inferior a 0,2 veces la resistencia característica del hormigón, y que su espesor no sea superior a 0,2 veces el ancho menor de la basa.
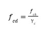
- fcd: valor de cálculo de la resistencia a compresión del hormigón sobre probeta cilíndrica, de acuerdo a la instrucción aplicable al hormigón armado:

Siendo “γc” el coeficiente parcial de seguridad para el hormigón γc=1,50.
- Kj: factor de concentración, dependiente del área portante equivalente de hormigón a nivel de cimentación, de valor:

- a, b: son las dimensiones de la placa metálica de asiento.

En general, las dimensiones en planta de la placa “a” y “b” pueden obtenerse suponiendo unas dimensiones iniciales considerando:
Para casos normales puede tomarse como valor de predimensionado para las distancias “g” y “p” 45 ó 50 mm. Para placas de asiento que soportan dos perfiles puede suponerse una distancia “g” de 100 mm.
Para dimensión “b”: si el arranque del pilar sólo está sometido a momento predominantemente en la dirección “a”, puede tomarse como 2/3 veces la dimensión “a”.
Vemos como el factor de concentración “Kj” que interviene en el cálculo de la resistencia del hormigón confinado “fjd” viene determinado por:
Los valores de “a1” y “b1” se obtienen del valor más pequeño de los propuestos en la siguiente tabla:


En el apartado anterior hemos sido capaces de obtener el área eficaz de la
placa “Aefi” a través de la anchura complementaria “c”.
Como nos proponíamos al principio en los Criterios de Diseño en el punto “2) Al mismo tiempo las tensiones en la cimentación no deben sobrepasar los valores máximos admitidos por el propio material y por último” debemos comprobar que en el hormigón no se generen tensiones superiores a las admisibles por el material “fjd”. Este paso nos permitirá verificar si las dimensiones que le hemos dado a la placa (a y b) en el predimensionado son suficientes o si por lo contrario deben aumentarse.
Resumidamente deberemos verificar que la tensión en el hormigón “NEd/Aefi” sea inferior a la tensión admisible por el material “fjd”:

Donde:
- NEd: axil de cálculo en la base del soporte.
- Aefi: área eficaz de la placa.
- fjd: tensión admisible del terreno.
Hasta ahora hemos ido comentando el procedimiento a seguir y que nos permite poder fijar unas dimensiones para la placa de asiento “a y b” las cuales hemos verificado imponiendo que la tensión en el hormigón bajo la placa “NEd/Aefi” no supere la tensión admisible del material “fjd”.
Una vez hecho este repaso teórico y de procedimiento veremos en la PARTE II un ejemplo práctico en el cual aplicaremos esta sistemática en el dimensionado de una placa base que permite la transmisión de un esfuerzo de compresión NEd=450 kN, entre un soporte metálico HEB260 y la cimentación formada por una zapata de 1450·1100 y un canto de 1000 mm.
A continuación vamos a realizar el predimensionado de la placa de asiento siguiendo el procedimiento descrito en la parte I de este artículo.

Datos: – NEd=450 kN – Soporte: HEB260. – Zapata: 1450x1100x1000 mm. – Acero S235. – Hormigón HA25. Introducimos las propiedades mecánicas de los materiales: acero y hormigón.
Y hacemos lo mismo con la geometría del problema, soporte, zapata y placa de asiento así como con la solicitación en la base del soporte. En este primer ejemplo consideramos que únicamente se transmite un esfuerzo axil de diseño “NEd=450 kN”: Figura 9. Introducción de la geometría y solicitación NEd

El siguiente paso consiste en la obtención del área portante eficaz de la placa. Para ello partimos del perfil del soporte al cual se le añade una anchura complementaria “c” que pasamos a calcular:

  Este parámetro es función del área portante equivalente inscrita en la cimentación “a1 y b1” que deben tomarse como los valores mínimos tabulados: 

Con estos parámetros ya somos capaces de obtener el factor de concentración “Kj”, la resistencia del hormigón confinado “fjd” y por último la anchura complementaria “c” que vale 18,76 mm en nuestro ejemplo.

Finalmente comprobamos que la tensión de compresión que se produce en el área eficaz de la placa no supere la capacidad del hormigón confinado:

Con esto validamos el dimensionado en plana de la placa y finalizamos el artículo sobre placas de asiento. Aún así aún no hemos visto como fijar el espesor de la placa “t”. Será necesario dotar a la placa de un espesor “t” suficiente a partir de los momentos que actúan sobre la misma. Esto lo veremos próximamente a través del blog de Zigurat en nuevos artículos que publicaremos.
Este artículo está relacionado con el Máster Internacional en Estructuras Metálicas y Mixtas de Edificación.
Damià Milanés