Damià Milanés
Categorias
La soldadura es uno de las técnicas de unión que nos permiten ensamblar distintos elementos estructurales en acero.
Este artículo queda dividido en dos partes. La Parte I pretende ser una introducción a las tensiones en una soldadura. En la Parte II nos centraremos en la unión articulada entre viga y columna que se resolverá mediante soldadura a ambos lados del alma de la viga. Se trata de una unión muy sencilla que nos ayudará a identificar qué tensiones solicitan al cordón. En este artículo nos basaremos en la normativa española del Código Técnico de la Edificación en su Documento Básico de Acero estructural “CTE DB-SE-A”.
Próximamente en otro artículo resolveremos el mismo problema con normativa americana AISC-360.

Los cordones de soldadura en ángulo dispuestos a ambos lados del alma de la viga se asimilan a un triángulo configurando la sección aproximada del cordón. Distinguimos entre dos tipos de planos resistentes dentro del cordón: Planos abatidos: son los dos planos ortogonales que cierran el triángulo de la sección aproximada. Plano de garganta: se considera que es el plano resistente de la soldadura y forma 45º respecto a los planos abatidos.
Los esfuerzos que actúan sobre el cordón de soldadura deben transformarse a una tensión determinada. Recordemos que una tensión es la relación de un esfuerzo entre un área resistente, por lo que en función del plano de trabajo del cordón con el que trabajemos, podemos hablar de las tensiones siguientes: Tensiones en los planos abatidos: denominadas con letras alfanuméricas.
es la tensión tangencial de cálculo normal a la arista contenida en el plano de una de las caras de la soldadura.
es la tensión tangencial de cálculo paralela a la arista contenida en el plano de una de las caras de la soldadura.

Tensiones en el plano de garganta: denominadas con letras griegas.
es la tensión normal perpendicular al plano de la sección transversal del cordón; es paralela a la dirección del cordón.
es la tensión tangencial de cálculo normal a la arista referida al plano de garganta.
es la tensión tangencial de cálculo paralela a la arista referida al plano de garganta.

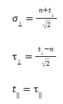
CONVERSIÓN DE TENSIONES Es habitual identificar en primera instancia las tensiones en los planos abatidos
y, de acuerdo a la solicitación sobre la unión, transformar estas tensiones del plano abatido en tensiones sobre el plano de garganta
Para ello podemos hacer uso de las siguientes expresiones:

A continuación veremos un ejemplo práctico de unión viga-columna articulada: 

Y nos apoyaremos en una hoja de cálculo MathCad bajo los condicionantes de la norma española de estructuras en acero “CTE DB-SE-A”. 

Geometría de la unión: 

DATOS DE PARTIDA - Columna: HEB 200. - Garganta “a”: 5 mm. - Viga: IPE 360. - L: 165 mm. - Solicitación: V= 250 kN (Esfuerzo cortante mayorado).
En este caso el esfuerzo cortante actúa en la misma dirección que el plano abatido, paralelamente a la arista del cordón. Por este motivo tendremos únicamente tensión tangencial en el plano abatido
Esta tensión será absorbida por el plano de garganta

Recordemos que disponemos dos cordones de soldadura a lado y lado del alma de la viga, de ahí el factor 2 en el denominador de la expresión anterior. Reemplazando valores se obtiene una tensión en el plano de garganta de: 

Para validar el diseño de los cordones de soldadura debe cumplirse que la Solicitación sea inferior a la Resistencia del cordón como es obvio. Obtenemos la tensión en el plano de garganta de acuerdo a la expresión de Von Mises: 

Seguidamente buscamos la resistencia del cordón de acuerdo a la expresión 8.23 del DB-SE-A. Fijémonos como esta resistencia del cordón es función de la tensión de rotura de las chapas a unir “fu” y de dos coeficientes parciales de seguridad


Ya por último buscamos el porcentaje de aprovechamiento de la soldadura que es la relación entre la Solicitación y la Resistencia del cordón. Debe verificarse que el aprovechamiento sea inferior al 100%.

Finalmente lo que hacemos es verificar el cumplimiento de dos limitaciones geométricas que hacen referencia a la garganta “a” del cordón en función del menor espesor de las chapas a unir “tmín” por un lado, y por otro a la longitud “L” del cordón:

En este caso vemos como con los datos de partida considerados (a=5mm y L=165 mm) las soldaduras cumplen con todos los requisitos de dimensionado. El porcentaje de aprovechamiento del cordón está entorno al 70% y se considera válido. En cuanto a la longitud de los cordones de soldadura, en uniones articuladas se recomienda que sean inferiores a 2/3 del canto de la viga. Como es habitual se han dispuesto exactamente en una longitud de 1/2 del canto de la viga (330 / 2 = 165 mm).
Este artículo está relacionado con el Máster Internacional en Estructuras Metálicas y Mixtas de Edificación.
Damià Milanés
Formación relacionada