Categorias
En este artículo, que cuenta con contenido descargable, el Ingeniero José Carlos Coya explica, a través de un ejemplo, la diferencia de tensiones producidas en las proximidades de un edificio en función de si usamos zapatas o losa.
RESPONSABILIDADES: El contenido de esta obra elaborada por ZIGURAT Consultoría de Formación Técnica, S.L. está protegida por la Ley de Propiedad Intelectual Española que establece penas de prisión y/o multas además de las correspondientes indemnizaciones por daños y perjuicios.
No se permite un uso comercial. No se permite copiar, distribuir, exhibir, ejecutar el trabajo y realizar otros trabajos derivados del mismo con propósitos comerciales. Siempre se debe reconocer y citar al autor original, previa autorización escrita a ZIGURAT.
Las cimentaciones superficiales transmiten la carga del edificio al suelo y con ello generan un incremento de tensiones en el mismo. Esto puede afectar no sólo a nuestro propio edificio sino también a los edificios próximos, ya que el cambio de tensiones en el terreno puede provocar deformaciones en el suelo, generalmente asientos. El objetivo de este ejemplo es mostrar la diferencia de tensiones generadas en las proximidades de nuestro edificio según usemos zapatas o losa.
Para ello, usamos este pequeño edificio, 3 filas de 4 soportes, 5 plantas.

Las cargas en la base de los pilares son:

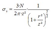
Dada la complejidad del suelo y su comportamiento conocer la distribución de tensiones bajo las cargas de la cimentación no es sencillo, pero podemos aproximarlo con diferentes modelos. Un modelo que nos permite abordar el problema con relativa facilidad y muy asumido en mecánica de suelos consiste en suponer el suelo como un semiespacio infinito, homogéneo, isótropo y elástico.
Aplicamos sobre la superficie de nuestro terreno una carga puntual vertical hacia abajo N. Boussinesq obtuvo la ecuación que da la tensión vertical en cualquier punto P definido por la profundidad z y la distancia r a la vertical del punto.

Figura 3.2. Carga puntual sobre el semiespacio elástico
La presión vertical es

Existen fórmulas para múltiples casos de carga, pero para poder abordar el problema de modo que se pueda extrapolar a diversas situaciones buscamos un método general: discretizamos la superficie del suelo bajo el edificio en cuadrados de 0,50 m de lado y aplicamos cargas en el centro de cada cuadrado.

Buscamos la presión en un punto definido por sus coordenadas X e Y y por su profundidad.
Por ejemplo, nos puede interesar en un punto próximo al pilar central de la derecha, por ejemplo el punto P=, tomando como origen de coordenadas la esquina inferior izquierda.
La siguiente tabla muestra la distancia horizontal r de cada punto de la malla al punto en cuestión.

En el caso de cimentación con losa, suponemos que la carga se reparte homogéneamente en todos los cuadros. La carga total es 11474 kN y son 864 cuadros, por lo que sale una carga de 13,28 kN por cuadro.
Esto se refleja en una hoja de cálculo en forma de tabla. El punto 0,0 es la esquina inferior izquierda del esquema. En la tabla tenemos las coordenadas X e Y de los puntos medios de cada cuadro y la carga en cada uno de los cuadros, que en este caso es constante.

La siguiente tabla muestra la presión que la carga de cada punto induce en el punto P a la profundidad indicada, por ejemplo, 1 m.

La presión en las proximidades de P es casi 0,60 kN/m² pero disminuye según nos alejamos hasta llegar a ser prácticamente nula (con el redondeo a 2 decimales sale 0,00).
Sumamos la presión inducida por las cargas de cada cuadro: totalizan 4,61 kN/m².

hacerlo a diversas profundidades

La presión aumenta hasta 16,97 kN/m² a una profundidad de unos 5 m, a partir de ahí disminuye.
En el caso de cimentación por zapatas, primero asignamos cuadros a las zapatas y a los huecos.

Suponemos que la carga se reparte homogéneamente en cada zapata.

Reflejamos las cargas en la tabla

Y obtenemos la tabla de presión que la carga de cada cuadrante introduce en el punto P.

Vemos que pasa de 2 kN/m² en las proximidades de P y disminuye según nos alejamos.
Sumamos la presión inducida por las cargas de cada cuadro: totalizan 13,79 kN/m², valor muy superior al obtenido con la losa.

Nuevamente comparamos a diferentes profundidades.

El máximo se alcanza a 2 m, a partir de ahí disminuye, pero hasta llegar a profundidades importantes la presión debida a las zapatas es mayor que la presión debido a la losa; a gran profundidad es prácticamente igual.
Este artículo está relacionado con el Máster Internacional en Estructuras de Edificación con CYPE.
Formación relacionada